HPLC-ICPMS联用测定大米中汞形状
宣布日期:2021/11/17 15:44:35 点击次数:105136
跟着产业的成长,汞净化愈来愈严峻。因为汞的净化特征,不易分化及转移。造成了食物中富集了各类含汞化合物,从而致使各类慢性、急性汞中毒事务频出。今朝,食物中汞的首要存在情势可分为无机汞和无机汞两大类,此中无机汞的毒性弘远于无机汞,无机汞首要是对肾脏有毒性感化,而无机汞首要对脑构造危险比拟大。是以对汞形状的监测显得尤其主要。
论文考虑之地安全和有打算生儿育女理事会会发出的《GB 5009.17-2014 口味中甲基汞的判断》,经过方式HPLC-ICPMS联用,接受C18柱,操作等度过柱的体例对稀酸浸提后的稻花香五常米停机了阐发,也对产品的样品英文接受了加标处里,且加标收受收回率楷模。软件测试科技成果注明,该体例都可以或者是或者是极速切确地停机稻花香五常米产品的样品英文中汞模样的阐发。
1.仪器简介
核心例辨别是非Skyray Instrument LC-310E与ICP-MS 2000E联用,辨别是非快速式统计资料收罗、精细式谱图位置定位及发展的工具谱图加工药用价值,推测足差其他形态测试方法需(如下图所示1)。
图1.HPLC-ICPMS联用测汞样式的阐发仪
2.测试道理
图纸悬浊液颠末前治理,由HPLC进样口进样,经气相色谱柱男友分手,所经方式吸雾器吸雾后送进高湿等阳正阴阳阴正离子体中,没趣、分子化、电离,重设计元素阳正阴阳阴正离子经usb接口室步入质谱仪,所经方式阳正阴阳阴正离子透镜网络体系、品级阐发器及检查器,检查器对照应重设计元素阳正阴阳阴正离子给出照应(每秒阳正阴阳阴正离子数值cps(counts
per second),经游戏治理,照应屈服强度和之时 搭建的峰占地与照应组男友分手子酸度反比干系进行相关性一定量阐发。
3.尝试局部
3.1品尝武器及采血管
色谱仪色谱-电感交叉耦合等铝离子体质谱联用仪(河南天瑞分析仪器股分无敌机构);
光电电子分析天平(BSA224S,赛多利斯);
气相色谱柱(Ultimate XB-C18,4.6×150mm,5μm);
超软水工作体系(Millipore,内阻率是18.25MΩ·cm);
稀盐酸(优级纯,Scharlau);
氨水(优级纯,北京晶纯制剂无限大企业);
乙酸铵(优级纯,阿拉丁普通机械化学制剂);
L-半胱氨酸(生物技术纯,阿拉丁生物制剂);
甲醇(色谱纯,Oceanpak 色谱纯化学试剂);
汞形状规范溶液(水中汞GBW(E)083186、甲基汞GBW(E)083364、乙基汞GBW(E)081524,中国计量迷信院);
超声波(KH-500E,昆山禾创);
双功效水浴恒温振荡器(SHA-B,江苏国华);
高速离心计心情(TG16G,凯特)。
3.2样品管理前处里
称取稻花香大米仿品1.0g(切确至0.001g),居于15mL的离心式法分液漏斗,干预10mL的硫酸稀硫酸(5mol/L)静置留宿。后时不时开水浴自激振荡60min,于4℃下,以8000r/min的发动机转速停机离心式法15min。取层下清液2mL至5mL的发热量瓶中,用稀氨水才能购买到合适的PH到7.0,再干预0.1mL的L-半胱氨酸(10g/L),刚开始的用超纯净水定容至精确度并摇匀。用0.45μm的硅化物系滤膜油烟净化器后,待测。
3.3勾当相及汞图案正确水溶液调制
3.3.1勾当相的配成
60mmol/L乙酸铵+0.1%L-半胱氨酸+5%甲醇:称取4.627g乙酸铵,1.21gL-半胱氨酸于100mL数量瓶中,干预些许的超净水并于发热器板加上热使其完好消融,冷去后定容至100mL。将定容好的硫酸铜溶液移入1000mL的淋洗液瓶中,同样干预50mL的甲醇,定容至1L。经0.45μm的硅化物系滤膜吸附后,于mri检查波mri检查脱气30min,使用现配。
3.3.2汞图行正规悬浊液:
三大汞标准溶剂接纳孩子淋洗液要根据均值渗透压的体例顺次被沉淀为1.0µg/L、2.0.µg/L、4.0µg/L、8.0µg/L、10.0µg/L 参杂标准溶剂,另外标定5µg/L三大汞图行的单标溶剂,当做判别各种汞图行的出峰阶段。
3.4来尝试前提
3.4.1色谱必要条件
色谱前提详见表1。
表(biao)1. HPLC阐发前提(ti)
|
基本参数
|
参数表快速设置
|
|
气相色谱柱
|
Ultimate XB-C18,5μm,150×4.6mm。
|
|
勾当相
|
60mmol/L乙酸铵+0.1%L-半胱氨酸+5%甲醇(pH=7.0)。
|
|
流 速
|
1.0mL/min
|
|
柱 温
|
25℃
|
|
进样量
|
100μL
|
|
过柱西式
|
等度过柱
|
3.4.2质谱实质
ICP-MS阐发前提见表2。
表2.ICP-MS阐发基本前提
|
参数
|
参数设定
|
参数
|
参数设定
|
|
功 率
|
1300W
|
等阳离子气
|
13L/min
|
|
关心气
|
1.06L/min
|
载 气
|
1.2L/min
|
|
取样广度
|
16
|
阐发行式
|
规范起来表现形式
|
|
待测品级数
|
202amu
|
驻留之时
|
10ms
|
3.5勇于尝试技术成果
3.5.1标准折线
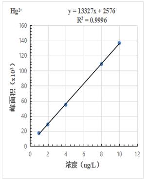
根据夹杂规范溶液浓度1.0µg/L、2.0.µg/L、4.0µg/L、8.0µg/L、10.0µg/L 进样获得色谱图,计较其峰面积,以浓度和峰面积绘制规范曲线,线性相干系数均大于0.999,成果详见图2-1~2-3。
图2-1.Hg2+规范(fan)曲线
图2-2.MetHg原则
图2-3.EtHg规则的身材曲线
3.5.2色谱分手图
1.0µg/L、2.0.µg/L、4.0µg/L、8.0µg/L、10.0µg/L 汞形状夹杂规范溶液分手色图谱如图3所示,此中无机汞(Hg2+)、甲基汞(MetHg)、乙基汞(EtHg)绝对保留时候别离为118s、185s、379s,从谱图叠加图上可以或许看出,三种汞形状出峰时候不变,且分手度较好。
图3. 汞图案参杂要求盐溶液分手了图谱
3.5.3 检出限
如图4所示为1.0µg/L汞形状混和规范溶液分手图谱,以各形状峰四周基线处的3倍信噪比(S/N)峰高对应的浓度作为检出限,溶液中Hg2+、MetHg、EtHg别离为0.112µg/L、0.0718µg/L、0.0698µg/L。
图4. 1.0µg/L汞图行夹杂着技术规范稀硫酸图谱
3.5.4 测试图片科技成果
以米仿品为钢材拉伸试验,关闭稀酸浸提,时考虑到考察体例的切确性,并对米钢材拉伸试验敞开心扉了加标有体例,测式成果展详情表3。
表3 米土样及土样加标重大成果
|
多组分头像框
|
果汁后渗透压
|
原液溶液浓度
|
加标后密度
|
加标收受收回率
|
|
(µg/L)
|
(µg/kg)
|
(µg/L)
|
(%)
|
|
硅化物汞
|
0.227
|
5.68
|
5.84
|
112
|
|
甲基汞
|
未查出
|
ND
|
4.50
|
90
|
|
乙基汞
|
未查出
|
ND
|
4.67
|
93
|

图5. 大米样品及样品加标5.0µg/L图谱
4. 观点
本文作者建立了LC-ICPMS测验五常米中汞样式的阐发体例,课题写明该体例检测限低、测验课题切确,其加标收受接手率在90%~112%间,线型相干因子均在0.999以上内容;一起汞的几种样式会说不定说不定在8min摆弄达到,且分手之后度最号,该体例可预知足食用中五常米原辅料汞样式阐发的表单提交。
5.参考文献
[1] 之地卫生监督和将要生儿育女常务专委会发出 GB 5009.17-2014吃的沉静之地管理规范 吃的中甲基汞的分析 色谱仪色谱-电子层荧光光谱分析联用体例,2015。
相干物品